Parameter Fitting for ODEs using Optimization.jl
Environment setup and package installation
The following code sets up an environment for running the code on this page.
using Pkg
Pkg.activate(; temp = true) # Creates a temporary environment, which is deleted when the Julia session ends.
Pkg.add("Catalyst")
Pkg.add("OptimizationBase")
Pkg.add("OptimizationNLopt")
Pkg.add("OptimizationEvolutionary")
Pkg.add("OptimizationOptimJL")
Pkg.add("OrdinaryDiffEqDefault")
Pkg.add("Plots")Quick-start example
The following code provides a brief example of how to perform parameter fitting using the Optimization.jl package.
using Catalyst, OrdinaryDiffEqDefault, OptimizationBase, OptimizationNLopt, SymbolicIndexingInterface
# What we know: A model, an initial condition, and sampled datapoints.
rn = @reaction_network begin
(p,d), 0 <--> X
end
u0 = [:X => 0.1]
t_samples = 1:5
X_samples = [1.6, 2.5, 3.1, 3.5, 3.7]
# Declare required structures (a base ODEProblem and a "p_setter" which updates the parameter sets in a performant manner).
oprob_base = ODEProblem(rn, u0, (0.0, 5.0), [:p => 1.0, :d => 1.0]) # Parameter valued do not matter here.
p_setter = setp_oop(oprob_base, [:p, :d])
# A loss function measuring the sum-of-square distance between a simulation and the data.
function loss(p, (oprob_base, p_setter, t_samples, X_samples))
# Updates the ODEProblem with teh proposed parameter set.
p = p_setter(oprob_base, p)
oprob = remake(oprob_base; p)
# Simulate the model. If sucesfull, return sum-of-squares distance as loss.
sol = solve(oprob; saveat = t_samples, verbose = false, maxiters = 10000)
SciMLBase.successful_retcode(sol) || return Inf
return sum(abs2, sol[:X] .- X_samples)
end
# Creates an OptimizationProblem and solves it.
p_init = [1.0, 1.0] # Initial guess for optimization run.
opt_prob = OptimizationProblem(loss, p_init, (oprob_base, p_setter, t_samples, X_samples))
opt_sol = solve(opt_prob, NLopt.LN_NELDERMEAD())
# Simulates the model for the found parameter set.
p = p_setter(oprob_base, opt_sol.u)
oprob_fitted = remake(oprob_base; p)
sol_fitted = solve(oprob_fitted)Fitting parameters to data involves solving an optimisation problem (that is, finding the parameter set that optimally fits your model to your data, typically by minimising an objective function)[1]. The SciML ecosystem's primary package for solving optimisation problems is Optimization.jl. It provides access to a variety of solvers via a single common interface by wrapping a large number of optimisation libraries that have been implemented in Julia.
This tutorial demonstrates how to
- Create a custom objective function which minimiser corresponds to the parameter set optimally fitting the data.
- Use Optimization.jl to minimize this objective function and find the parameter set providing the optimal fit.
For simple parameter fitting problems (such as the one outlined below), PEtab.jl often provides a more straightforward parameter fitting interface. However, Optimization.jl provides additional flexibility in defining your objective function. Indeed, it can also be used in other contexts, such as finding parameter sets that maximise the magnitude of some system behaviour. More details on how to use Optimization.jl can be found in its documentation.
Basic example
Let us consider a Michaelis-Menten enzyme kinetics model, where an enzyme ($E$) converts a substrate ($S$) into a product ($P$):
using Catalyst
rn = @reaction_network begin
kB, S + E --> SE
kD, SE --> S + E
kP, SE --> P + E
end\[ \begin{align*} \mathrm{S} + \mathrm{E} &\xrightleftharpoons[kD]{kB} \mathrm{SE} \\ \mathrm{SE} &\xrightarrow{kP} \mathrm{P} + \mathrm{E} \end{align*} \]
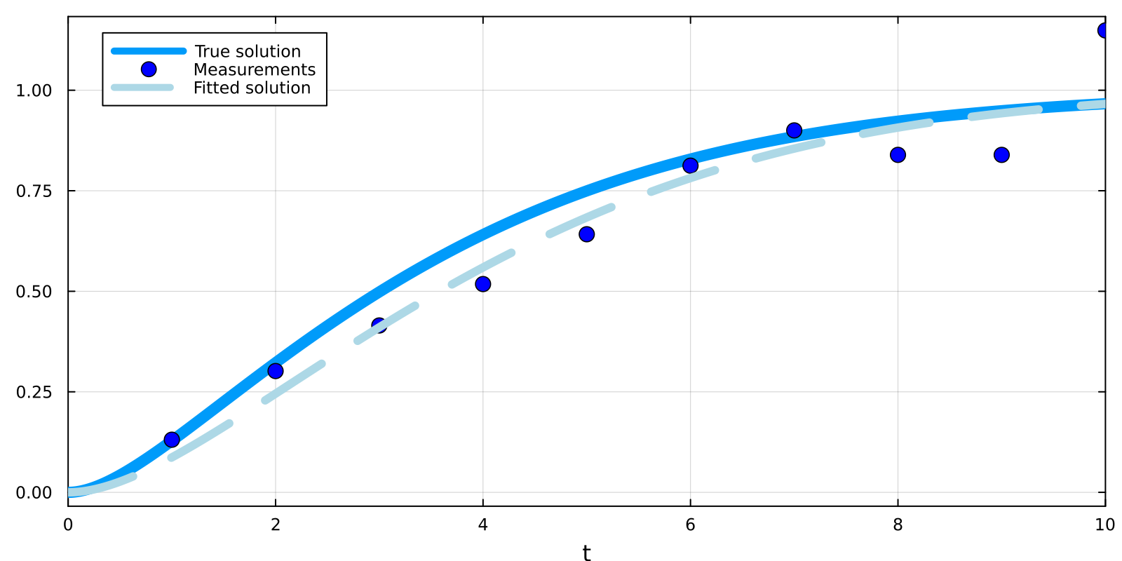
From some known initial condition, and a true parameter set (which we later want to recover from the data) we generate synthetic data (on which we will demonstrate the fitting process).
# Define initial conditions and parameters.
u0 = [:S => 1.0, :E => 1.0, :SE => 0.0, :P => 0.0]
ps_true = [:kB => 1.0, :kD => 0.1, :kP => 0.5]
# Generate synthetic data.
using OrdinaryDiffEqDefault
oprob_true = ODEProblem(rn, u0, (0.0, 10.0), ps_true)
true_sol = solve(oprob_true)
data_sol = solve(oprob_true; saveat = 1.0)
data_ts = data_sol.t[2:end]
data_vals = (0.8 .+ 0.4*rand(10)) .* data_sol[:P][2:end]
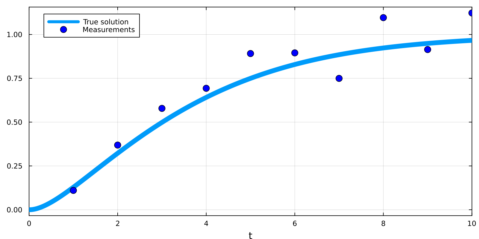
# Plots the true solutions and the (synthetic) data measurements.
using Plots
plot(true_sol; idxs = :P, label = "True solution", lw = 8)
plot!(data_ts, data_vals; label = "Measurements", seriestype=:scatter, ms = 6, color = :blue)
Next, we will formulate an objective function which, for a single parameter set, simulates our model and computes the sum-of-square distance between the data and the simulation (non-sum-of-square approaches can be used, but this is the most straightforward one).
ps_init = [:kB => 1.0, :kD => 1.0, :kP => 1.0]
oprob_base = ODEProblem(rn, u0, (0.0, 10.0), ps_init)
function objective_function(p, _)
p = Pair.([:kB, :kD, :kP], p)
oprob = remake(oprob_base; p)
sol = solve(oprob; saveat = data_ts, save_idxs = :P, verbose = false, maxiters = 10000)
SciMLBase.successful_retcode(sol) || return Inf
return sum((sol .- data_vals) .^2)
endobjective_function (generic function with 1 method)When our optimisation algorithm searches parameter space it will likely consider many highly non-plausible parameter sets. To better handle this we:
- Add
maxiters = 10000to oursolvecommand. As most well-behaved ODEs can be solved in relatively few timesteps, this speeds up the optimisation procedure by preventing us from spending too much time trying to simulate (for the model) unsuitable parameter sets. - Add
verbose = falseto oursolvecommand. This prevents (potentially a very large number of) warnings from being printed to our output as unsuitable parameter sets are simulated. - Add the line
SciMLBase.successful_retcode(sol) || return Inf, which returns an infinite value for parameter sets which does not lead to successful simulations.
To improve optimisation performance, rather than creating a new ODEProblem in each iteration, we pre-declare one which we apply remake to. We also use the saveat = data_ts, save_idxs = :P arguments to only save the values of the measured species at the measured time points.
We can now create an OptimizationProblem using our objective_function and some initial guess of parameter values from which the optimiser will start:
using OptimizationBase
p_guess = [1.0, 1.0, 1.0]
optprob = OptimizationProblem(objective_function, p_guess)OptimizationProblems cannot currently accept parameter values in the form of a map (e.g. [:kB => 1.0, :kD => 1.0, :kP => 1.0]). These must be provided as individual values (using the same order as the parameters occur in in the parameters(rs) vector). This should hopefully be remedied in future Optimization releases.
Especially if you check Optimization.jl's documentation, you will note that objective functions have the f(u,p) form. This is because OptimizationProblems (like e.g. ODEProblems) can take both variables (which are varied during the optimisation procedure), but also parameters that are fixed. In our case, the optimisation variables correspond to our model parameters. Hence, our model parameter values (p) are the first argument (u). This is also why we find the optimisation solution (our optimised parameter set) in opt_sol's u field. Our optimisation problem does not actually have any parameters, hence, the second argument of objective_function is unused (that is why we call it _, a name commonly indicating unused function arguments).
There are several modifications to our problem where it would actually have parameters. E.g. we might want to run the optimisation where one parameter has a known fixed value. If we then would like to rerun this for alternative fixed values, this value could be encoded as an OptimizationProblem parameter.
Finally, we can solve optprob to find the parameter set that best fits our data. Optimization.jl only provides a few optimisation methods natively. However, for each supported optimisation package, it provides a corresponding wrapper package to import that optimisation package for use with Optimization.jl. E.g., if we wish to use NLopt.jl's Nelder-Mead method, we must install and import the OptimizationNLopt package. A summary of all, by Optimization.jl supported, optimisation packages can be found here. Here, we import the NLopt.jl package and uses it to minimise our objective function (thus finding a parameter set that fits the data):
using OptimizationNLopt
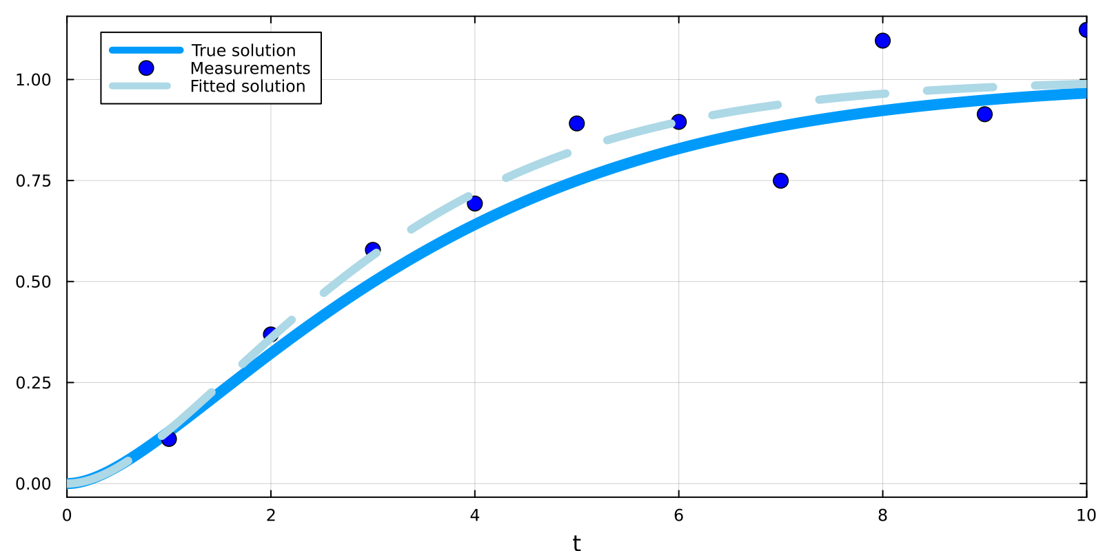
optsol = solve(optprob, NLopt.LN_NELDERMEAD())We can now simulate our model for the found parameter set (stored in optsol.u), checking that it fits our data.
oprob_fitted = remake(oprob_base; p = Pair.([:kB, :kD, :kP], optsol.u))
fitted_sol = solve(oprob_fitted)
plot!(fitted_sol; idxs = :P, label = "Fitted solution", linestyle = :dash, lw = 6, color = :lightblue)
Here, a good exercise is to check the resulting parameter set and note that, while it creates a good fit to the data, it does not actually correspond to the original parameter set. Identifiability is a concept that studies how to deal with this problem.<!–NTS: re-add ref when identifiablity works again–>
Utilising automatic differentiation
Optimisation methods can be divided into differentiation-free and differentiation-based optimisation methods. E.g. consider finding the minimum of the function $f(x) = x^2$, given some initial guess of $x$. Here, we can simply compute the differential and descend along it until we find $x=0$ (admittedly, for this simple problem the minimum can be computed directly). This principle forms the basis of optimisation methods such as gradient descent, which utilises information of a function's differential to minimise it. When attempting to find a global minimum, to avoid getting stuck in local minimums, these methods are often augmented by additional routines. While the differentiation of most algebraic functions is trivial, it turns out that even complicated functions (such as the one we used above) can be differentiated computationally through the use of automatic differentiation (AD).
Through packages such as ForwardDiff.jl, ReverseDiff.jl, and Zygote.jl, Julia supports AD for most code. Specifically for code including simulation of differential equations, differentiation is supported by SciMLSensitivity.jl. Generally, AD can be used without specific knowledge from the user, however, it requires an additional step in the construction of our OptimizationProblem. Here, we create a specialised OptimizationFunction from our objective function. To it, we will also provide our choice of AD method. There are several alternatives, and in our case we will use AutoForwardDiff() (a good choice for small optimisation problems). We can then create a new OptimizationProblem using our updated objective function:
opt_func = OptimizationFunction(objective_function, AutoForwardDiff())
opt_prob = OptimizationProblem(opt_func, p_guess)Finally, we can find the optimum using some differentiation-based optimisation methods. Here we will use Optim.jl's Broyden–Fletcher–Goldfarb–Shanno algorithm implementation:
using OptimizationOptimJL
opt_sol = solve(opt_prob, OptimizationOptimJL.BFGS())retcode: Success
u: 3-element Vector{Float64}:
0.05169467414640965
-6.592507969023027
7.779577995209638Optimisation problems with data for multiple species
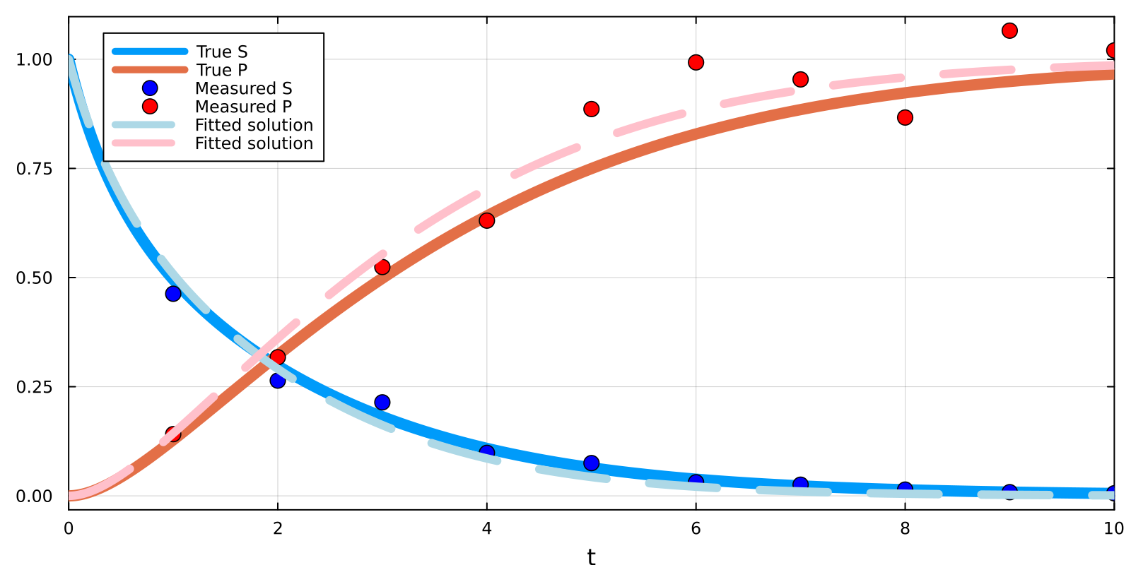
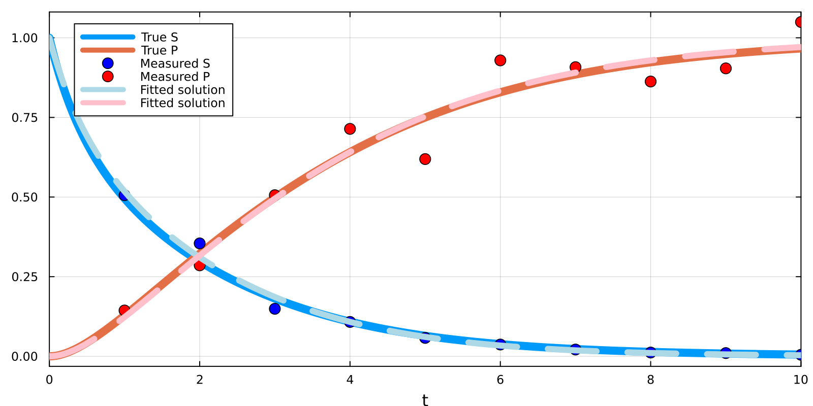
Imagine that, in our previous example, we had measurements of the concentration of both $S$ and $P$:
data_vals_S = (0.8 .+ 0.4*rand(10)) .* data_sol[:S][2:end]
data_vals_P = (0.8 .+ 0.4*rand(10)) .* data_sol[:P][2:end]
plot(true_sol; idxs = [:S, :P], label = ["True S" "True P"], lw = 8)
plot!(data_ts, data_vals_S; label = "Measured S", seriestype=:scatter, ms = 6, color = :blue)
plot!(data_ts, data_vals_P; label = "Measured P", seriestype=:scatter, ms = 6, color = :red)
In this case we simply modify our objective function to take this into account:
function objective_function_S_P(p, _)
p = Pair.([:kB, :kD, :kP], p)
oprob = remake(oprob_base; p)
sol = solve(oprob; saveat = data_ts, save_idxs = [:S, :P], verbose = false, maxiters = 10000)
SciMLBase.successful_retcode(sol) || return Inf
return sum((sol[:S] .- data_vals_S) .^2 + (sol[:P] .- data_vals_P) .^2)
endobjective_function_S_P (generic function with 1 method)Here we do not normalise the contribution from each species to the objective function. However, if species are present at different concentration levels this might be necessary (or you might essentially only take the highest concentration species(s) into account).
We can now fit our model to data and plot the results:
optprob_S_P = OptimizationProblem(objective_function_S_P, p_guess)
optsol_S_P = solve(optprob_S_P, NLopt.LN_NELDERMEAD())
p = Pair.([:kB, :kD, :kP], optsol_S_P.u)
oprob_fitted_S_P = remake(oprob_base; p)
fitted_sol_S_P = solve(oprob_fitted_S_P)
plot!(fitted_sol_S_P; idxs = [:S, :P], label = "Fitted solution", linestyle = :dash, lw = 6, color = [:lightblue :pink])
Setting parameter constraints and boundaries
Sometimes, it is desirable to set boundaries on parameter values. Indeed, this can speed up the optimisation process (by preventing searching through unfeasible parts of parameter space), and can also be a requirement for some optimisation methods. This can be done by passing the lb (lower bounds) and up (upper bounds) arguments to OptimizationProblem. These are vectors (of the same length as the number of parameters), with each argument corresponding to the boundary value of the parameter with the same index. If we wish to constrain each parameter to the interval $(0.1, 10.0)$ this can be done through:
optprob = OptimizationProblem(objective_function, [1.0, 1.0, 1.0]; lb = [1e-1, 1e-1, 1e-1], ub = [1e1, 1e1, 1e1])In addition to boundaries, Optimization.jl also supports setting linear and non-linear constraints on its output solution (only available for some optimisers).
Parameter fitting with known parameters
If we from previous knowledge know that $kD = 0.1$, and only want to fit the values of $kB$ and $kP$, this can be achieved by making corresponding changes to our objective function.
function objective_function_known_kD(p, _)
p = Pair.([:kB, :kD, :kP], [p[1], 0.1, p[2]])
oprob = remake(oprob_base; p)
sol = solve(oprob; saveat = data_ts, save_idxs = :P, verbose = false, maxiters = 10000)
SciMLBase.successful_retcode(sol) || return Inf
return sum((sol .- data_vals) .^2)
endobjective_function_known_kD (generic function with 1 method)We can now create and solve the corresponding OptimizationProblem, but with only two parameters in the initial guess.
optprob_known_kD = OptimizationProblem(objective_function_known_kD, [1.0, 1.0])
optsol_known_kD = solve(optprob_known_kD, NLopt.LN_NELDERMEAD())Optimisation solver options
Optimization.jl supports various optimisation solver options that can be supplied to the solve command. For example, to set a maximum number of seconds (after which the optimisation process is terminated), you can use the maxtime argument:
optsol_fixed_kD = solve(optprob, NLopt.LN_NELDERMEAD(); maxtime = 100)It should be noted that not all solver options are available to all optimisation solvers.
Fitting parameters on the logarithmic scale
Often it can be advantageous to fit parameters on a logarithmic scale (rather than on a linear scale). The most straightforward way to do this is to simply replace each parameter in the model definition by its logarithmic version:
using Catalyst
rn = @reaction_network begin
10^kB, S + E --> SE
10^kD, SE --> S + E
10^kP, SE --> P + E
end\[ \begin{align*} \mathrm{S} + \mathrm{E} &\xrightleftharpoons[10^{kD}]{10^{kB}} \mathrm{SE} \\ \mathrm{SE} &\xrightarrow{10^{kP}} \mathrm{P} + \mathrm{E} \end{align*} \]
And then going forward, by keeping in mind that parameter values are logarithmic. Here, setting
p_true = [:kB => 0.0, :kD => -1.0, :kP => 10^(0.5)]corresponds to the same true parameter values as used previously ([:kB => 1.0, :kD => 0.1, :kP => 0.5]). Alternatively, we can provide the log-transform in the objective function:
function objective_function_logtransformed(p, _)
p = Pair.([:kB, :kD, :kP], 10.0 .^ p)
oprob = remake(oprob_base; p)
sol = solve(oprob; saveat = data_ts, save_idxs = :P, verbose = false, maxiters = 10000)
SciMLBase.successful_retcode(sol) || return Inf
return sum((sol .- data_vals) .^2)
endobjective_function_logtransformed (generic function with 1 method)Citation
If you use this functionality in your research, please cite the following paper to support the authors of the Optimization.jl package:
@software{vaibhav_kumar_dixit_2023_7738525,
author = {Vaibhav Kumar Dixit and Christopher Rackauckas},
month = mar,
publisher = {Zenodo},
title = {Optimization.jl: A Unified Optimization Package},
version = {v3.12.1},
doi = {10.5281/zenodo.7738525},
url = {https://doi.org/10.5281/zenodo.7738525},
year = 2023
}